
고등학교수학 수열 단원을 착실히 공부한 학생은 자연수 1부터 n까지 제곱수를 더한 결과가 다음과 같다는 사실이 별로 새삼스럽지 않다.

수식 1 학생들은 이 식을 공식으로 외워서 기계적으로 문제풀이에 사용하지만 식의 유도 과정을 알고 있는 학생은 그다지 많지 않다.
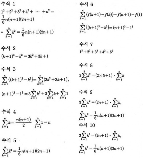
교과서에는 다음과 같은 항등식을 도입해 식을 유도한다. 수식 2 식 양 변의 k에 1부터 n까지 차례로 대입하여 더하자. 수식 3이다. 수식 4 임을 이용해 정리하면 수식 5 를 얻는다.
사실 이 유도과정 속에는 계차수열의 합을 구하는 원리 수식 6 을 염두에 두고 항등식을 도입해 증명한 것이다. 하지만 증명과정이 무척 기계적인 계산의 연속이라 별로 재미가 없다. 간단하게 그림으로 설명하는 방법을 소개한다. 그림 1
그림 1의 왼쪽의 수식 7 개의 정사각형 3 묶음을 그림 1의 오른쪽과 같이 재배열 하면 오른쪽은 가로 2×5+1, 세로 1+2+3+4+5개의 정사각형들로 이루어진 큰 직사각형이다. 즉 수식 8 인 관계가 성립한다. 이런 생각을 일반화하면 수식 9 를 얻을 수 있다.
다음 또 다른 재미있는 증명법도 알아보자. 그림 2 의 왼쪽과 같이 삼각형 모양으로 배열하고 이 삼각형을 120°, 240°회전시킨 다음 세 개의 삼각형에 대해 각각 대응되는 위치에 있는 세 수를 더 하면 항상 2n+1이다. 그림 2를 통해 수식 10 을 얻을 수 있다.
■ 조계정 선생님조계성 선생님은 현재 하나고 에 근무하신다. 명덕외고, 대성학원에서도 수학을 가르쳤다. 전국연합모의고사 출제위원도 맡고 있다. 서울대에서 수학교육을 전공했으며 연세대에서 수학교육으로 석사학위를 받았다. 저서로는 ‘개념+유형 시리즈’ 등 다수가 있다.
배시원 쌤의 신나는 영어여행 - up & down…쉬운 단어 자유자재로 써야 ‘진짜 고수’
외국에서 유학을 마치고 온 친구가 what’s up이라고 하자, 자기도 모르게 위를 쳐다봤다는 이야기는 이제는 농담으로도 치부하지 않는 구석기 시대의 유물 같은 에피소드이지만, 불과 몇십 년 전에 우리나라 모 명문대에서 실제로 일어난 사건이랍니다.네, 우리가 안다고 착각하는 단어들이 의외로 다른 의미로 쓰이는 경우는 너무도 많습니다. 오늘은 그 두 번째 시간으로 up & down에 대해 알아보도록 하겠습니다.
기본적으로 up은 ‘위’라는 뜻이고, down은 ‘아래’라는 의미가 있기 때문에, up과 down이 들어간 단어들은 ‘위, 아래’의 뜻을 나타내는 경우가 많습니다. upbeat이 ‘낙천적인’이란 뜻이고, downbeat이 ‘비관적인’이란 의미를 가지고 있으며, ‘흥망성쇠’ ‘우여곡절’ 등을 ups and downs로 표현하는 등 영어에서 그 예는 정말 셀 수도 없이 많습니다.
하지만, up은 완전한(complete)의 뜻도 있기 때문에, clean up이 되면 ‘완전히 청 老杉?rsquo;라는 의미가 됩니다. 예를 들어, 어머니께서 Did you clean your room?이라고 물으시면 무조건, yes라고 대답하면 됩니다. 방바닥에 떨어진 휴지 하나만 주워도 clean이란 행위를 한 것이니까요. 하지만, clean up을 쓰는 순간 상황은 바뀝니다. 이때는 어머니께서 다시 청소하실 필요가 없을 만큼 완벽하게 치워야 하기 때문이지요.
down 역시 ‘아래’라는 의미 외에도 다양한 뜻을 가지고 있는데, 토익이랑 텝스 시험에 자주 나오는 down payment라는 단어는 ‘계약금’ 혹은 ‘착수금’이란 뜻이므로, down을 그저 만만하게만 봤다가는 큰일 납니다. 또 교과서와 수능에 잘 나오는 come up with는 ‘생각을 떠올리다, 제안하다’의 뜻이지만, come down with는 ‘병에 걸리다’란 뜻이므로, 막연히 up과 down을 그저 반대의 개념으로만 생각해서는 안 됩니다.
지난 시간에 말씀드린 것처럼, 나도 할래’라고 할 때, I’m in이라는 표현 대신에 I’m up도 사용할 수 있답니다. 그런데 놀랍게도 I’m down 역시 같은 뜻으로 쓰인답니다.사전에서는 찾아보기 힘든 표현이지만, 반대로 원어민들에게서는 쉽게 들을 수 있는 표현이랍니다. 아시죠? 쉬운 단어를 자유자재로 쓰는 사람이 제일 영어 고수라는 사실을~^^*
■ 배시원 선생님
배시원 선생님은 호주 맥쿼리대 통번역 대학원에서 석사학위를 받았으며 현재 배시원 영어교실 원장을 맡고 있다. 김영 편입학원, YBM, ANC 승무원학원 등에서 토익·토플을 강의했다. 고려대 성균관대 등 대학에서도 토익·토플을 가르치고, 한영외고 중앙고 숭문고 등에서 방과후 텝스를 강의했다.
[한경+ 구독신청] [기사구매] [모바일앱] ⓒ '성공을 부르는 습관' 한국경제신문, 무단 전재 및 재배포 금지
관련뉴스








